flanneld-backend
k8s 集群网络方案介绍
flanneld 功能介绍
背景介绍
- Flannel是CoreOS团队针对Kubernetes设计的一个网络规划服务,简单来说,它的功能是让集群中的不同节点主机创建的Docker容器都具有全集群唯一的虚拟IP地址。
工作原理
- Flannel实质上是一种“覆盖网络(overlay network)”,也就是将TCP数据包装在另一种网络包里面进行路由转发和通信,目前已经支持UDP、VxLAN、AWS VPC和GCE路由等数据转发方式。
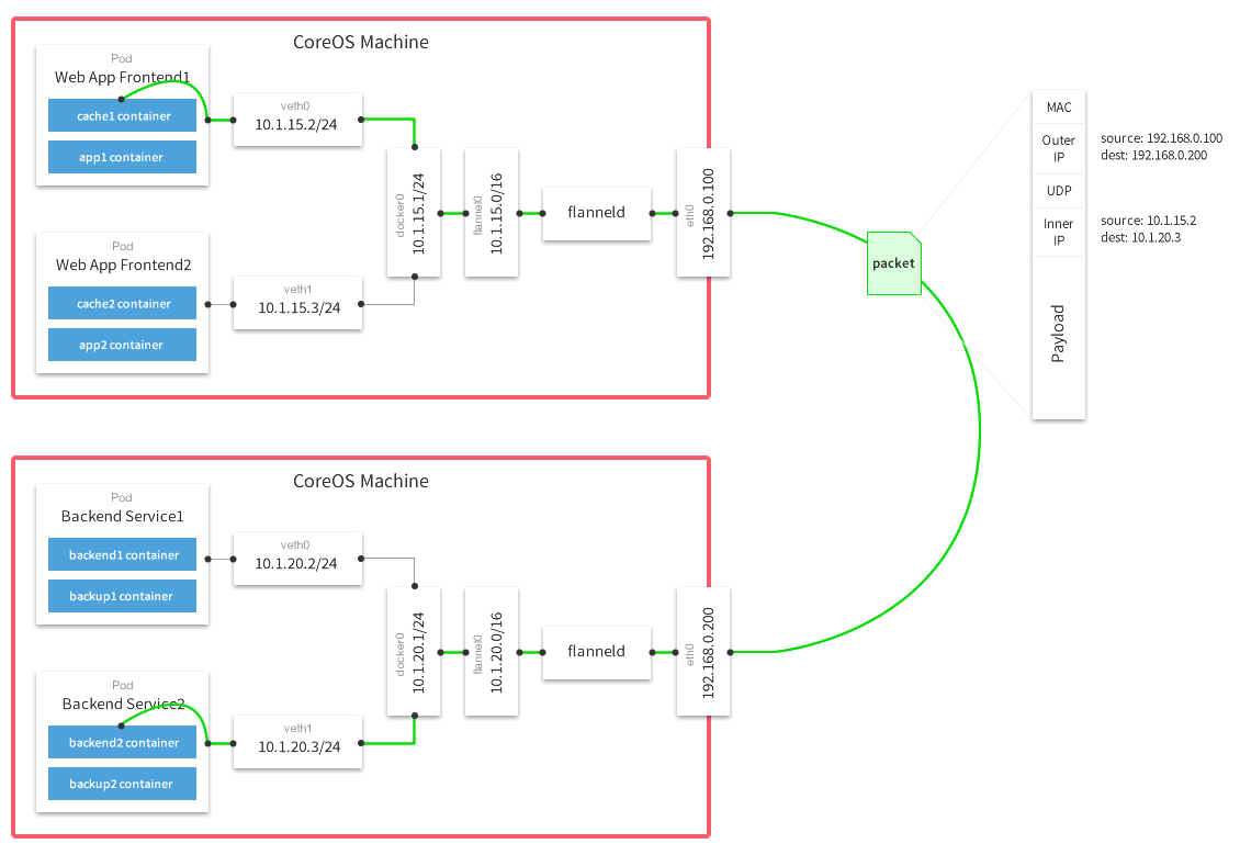
- 默认的节点间数据通信方式是UDP转发,在Flannel的GitHub页面有如下的一张原理图:

- 数据从源容器中发出后,经由所在主机的docker0虚拟网卡转发到flannel0虚拟网卡,这是个P2P的虚拟网卡,flanneld服务监听在网卡的另外一端。
- Flannel通过Etcd服务维护了一张节点间的路由表。
- 源主机的flanneld服务将原本的数据内容UDP封装后根据自己的路由表投递给目的节点的flanneld服务,数据到达以后被解包,然后直接进入目的节点的flannel0虚拟网卡,然后被转发到目的主机的docker0虚拟网卡,最后就像本机容器通信一下的有docker0路由到达目标容器。
ksc-vpc 功能
ksc-vpc 背景
- flanneld 默认使用的udp 进行封装后在每个节点之间进行通信
- 是否udp封装通信,必须有封包和解包工作,这样会影响网络的性能
- 为提高网络性能,我们引进ksc-vpc 功能来代替upd的方式进行节点之间的通信
ksc-vpc 原理
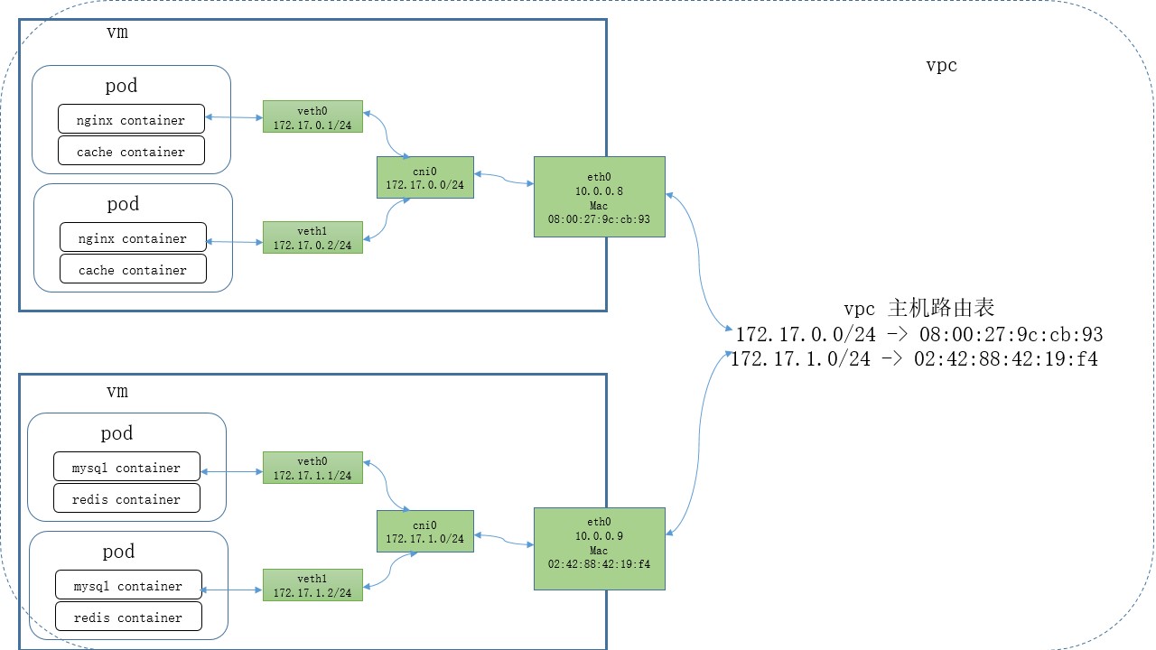
- ksc-vpc 使用公司网络产品 “主机路由”
- 主机路由介绍 公司官方文档
- flanneld 使用ksc-vpc 原理图:

calico 介绍
- Calico是一个纯三层的数据中心网络方案,而且方便集成OpenStack这种 IaaS云架构,能够提供高效可控的VM、容器、裸机之间的通信。
calico 架构图

- 如图, Calico的核心组件包括:Felix、etcd、BIRD、BIRD。
- Felix,即Calicoagent,跑在kubernetes的node节点上,主要负责配置路由及ACLs等信息来确保endpoint的连通状态;
- etcd,分布式键值存储,主要负责网络元数据一致性,确保Calico网络状态的准确性,可以与kubernetes共用;
- BGPClient(BIRD), 主要负责把 Felix写入 kernel的路由信息分发到当前 Calico网络,确保 workload间的通信的有效性;
- BGPRoute Reflector(BIRD), 大规模部署时使用,摒弃所有节点互联的mesh模式,通过一个或者多个 BGPRoute Reflector 来完成集中式的路由分发;
- 通过将整个互联网的可扩展 IP网络原则压缩到数据中心级别,Calico在每一个计算节点利用 Linuxkernel 实现了一个高效的 vRouter来负责数据转发,而每个vRouter通过 BGP协议负责把自己上运行的 workload的路由信息向整个Calico网络内传播,小规模部署可以直接互联,大规模下可通过指定的BGProute reflector 来完成。这样保证最终所有的workload之间的数据流量都是通过 IP包的方式完成互联的。
- 此外,Calico基于iptables还提供了丰富而灵活的网络Policy,保证通过各个节点上的ACLs来提供Workload的多租户隔离、安全组以及其他可达性限制等功能。
canal-flanneld 介绍
- canal-flanneld: flanneld 和calico 中的 felix 组件结合而成
- flanneld 在其中负责 所有 node 中pod 之间的通信
- calico(felix) 在其中负责集群网络中的资源隔离策略
pod 网络信息
- pod 网卡信息

- vm 路由信息

- vpc 路由信息
